| 1.課題の分類 北海道 野菜 栽培−タマネギ 栽培一般 2.研究課題名 道央地域におけるタマネギの根切り処理に関する試験 3.予算区分 道単 4.研究期間 (昭和61年〜63年) 5.担当 中央農試園芸部 農業改良課(空知北,西,東部、中央、南東,南西部地区農業改良普及所) 6.協力分担関係 |
7.目的
道央地域におけるタマネギの根切り処理効果と、収量及び品質両面から見た処理適期を検討し、普及指導上の資料とする。
8.試験研究方法
1)試験区別 根切り時期・・・倒伏期後 15日目,20日目,25日目,30日目 処理、 無処理
処理方法・・・手で抜き上げた後、元の位置に置き、枯葉後の慣行収穫期に収穫した。
2)試験実施場所、試験年次及び供試品種
| 試験 実施場所 |
試験 年次 |
試験 個所数 |
供試品種 | 各年次の倒伏期 | ||||
| そらち黄 | 北もみじ | ツキヒカリ | そらち黄 | 北もみじ | ツキヒカリ | |||
| 中央農試 | 62 | 1 | ① | ① | 8.14 | 8.5 | ||
| 63 | 1 | ① | ① | 8.11 | 8.12 | |||
| 空知北部 地区 |
61 | 3 | ② | ② | 8.5〜16 | 7.25〜8.5 | ||
| 62 | 3 | ③ | ② | 8.8 | 8.1 | |||
| 63 | 2 | ① | ② | 8.1 | 7.25〜8.15 | |||
| 空知西部 地区 |
61 | 1 | ① | ① | 8.8 | 8.3 | ||
| 62 | 1 | ① | ① | 8.8 | 7.24 | |||
| 63 | 1 | ① | ① | 8.2 | 8.1 | |||
| 空知東部 地区 |
61 | 1 | ① | ① | 8.10 | 7.29 | ||
| 62 | 2 | ② | ② | 8.4 | 7.28 | |||
| 63 | 1 | ① | ① | 8.9 | 8.4 | |||
| 空知中央 地区 |
61 | 3 | ③ | ③ | 8.5〜7 | 7.28〜8.1 | ||
| 62 | 3 | ③ | ③ | 8.1〜10 | 7.28〜8.4 | |||
| 63 | 3 | ③ | ③ | 8.2〜10 | 7.30〜8.10 | |||
| 空知 南東部 地区 |
61 | 2 | ② | ② | 8.1 | 8.1 | ||
| 62 | 2 | ② | ② | 8.15〜18 | 8.2〜4 | |||
| 63 | 1 | ① | ① | ① | 8.8 | 8.2 | 8.8 | |
| 空知 南西部 地区 |
61 | 1 | ① | ① | 8.10 | 8.1 | ||
| 62 | 1 | ① | ① | 8.11 | 8.1 | |||
| 63 | 1 | ① | ① | 8.15 | 8.4 | |||
3)試験規模
中央農試 1区4.8㎡(4畦×40株) 3反復
普及所 1区10株 3反復
9.結果の概要・要約
1)各年次毎の気象状況及び生育の概要
【61年】
定植後の低温、少日照及び6月上旬までの乾燥により初期生育は遅延したが、その後の降雨、多日照により生育は旺盛となり、倒伏後の根の活性もよく、後期の肥大も良好で多収となった。9月初旬の多雨により、収穫期がやや遅れた。病害の発生も少なかった。
【62年】
6月の高温、乾燥により初期の生育量が不足し、さらに7月からの極度の低温、多雨、少日照により生育は引き続き不良となり、また倒伏時からの根の活性も劣り、後期の肥大も不良で低収となった。品質も不良となった。枯葉も早く、収穫期が早まった。病害の発生も多かった。
【63年】
気象の変動が激しかったが、概ね生育及び肥大は順調であった。その後、倒伏後から多雨、少日照となり、低地では8月下旬の豪雨により、根の活性が低下し後期の肥大が劣った。その他の地域では、多収となった枯葉が遅れたことなどにより、規格外球の発生が多かった。病害の発生は少なかった。
2)中央農試における試験結果
【根切り処理と生育及び球肥大】
根切り処理により枯葉が促進された。その程度は、15日目〜20日目処理で大きく、25日目処理でも、"そらち黄"では差が認められた。根の枯れ上りは、根切りによって明らかに進んだ。
球の肥大は、根切り時期の早い15日目処理で明らかに抑制され、20日目処理でもやや抑制される傾向となった。25日目以降の処理では影響がなかった。
【根切り処理と収量及び品質】
総収量は、球肥大における傾向と同様に15日目処理で明らかに減収し、20日目処理でもやや低収傾向となった。25日目以降の処理では影響がなかった。規格外収量は、品種により程度の差はあったが、根切り処理により、少なくなった。特に、裂皮球の発生が、"そらち黄"では25日目以前の処理で、"ツキヒカリ"では全ての処理時期において明らかに少なかった。規格内収量は、15日目処理及び無処理で低収傾向となり、"そらち黄"では、20日目〜25日目、"ツキヒカリ"では25日目〜30日目処理で、高収量となった。品質(外皮色沢、しまり)に対する影響は大きいものではなかったが、15日目処理及び無処理でやや劣り、20〜25日目処理でやや良好な傾向であった。
3)農業改良普及所における試験結果
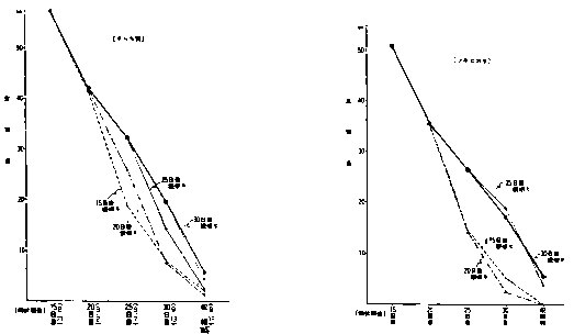
【根切り処理と生育及び枯葉進度】
無処理に比較して、倒伏期後20日目処理で10〜4.7日、25日目処理で7.9〜2日枯葉が早まった。早期出荷並びに慣行出荷で枯葉時期が揃うなど計画的な収穫のために有効な手段である。
【根切り処理と球肥大】
処理時の根の活性の相異により、球肥大に及ぼす影響が異なった。根の活性が肥大後期まで旺盛であった61年は、25日目処理でも無処理の92%と抑制されたが、後期の根の活性が弱かった62年は97%、63年は99%程度と影響が少なかった。
【根切り処理と球品質】
(1)裂皮球の発生
根切り処理の時期により裂皮球発生の多少に差があり、処理時期が早いと少なく、無処理で裂皮が多くなる傾向となった。年次により差があるが、特に25日目を境に急激に増加する傾向となった。年次差は根の活性の強弱によって現れるものと考えられ、球肥大に及ぼす影響と同様の傾向を示した。
(2)色沢、球のしまり
15〜20日目処理では色沢、首部しまりでやや劣る傾向がみられたが、その後は無処理と同様かやや優る傾向であった。
【根切り処理と貯蔵性】
年次及び品種により若干異なったが、裂皮球の発生が25日目処理で安定して少ない傾向が見られ無処理で発生率が高い結果となった。
4)以上の結果から
タマネギの根切り処理は、①収穫時期の調整、②収穫の省力化、③枯葉促進整一化による品質(裂皮多摩の減少、外皮色沢の向上等)の向上のために有効な栽培技術である。処理が早いと、球肥大は劣るが、枯葉促進による裂皮球の発生が少なくなり、無処理あるいは処理が遅く、自然枯葉に近い生育経過をとると、球肥大への影響は少ないが、裂皮球が増加する。
さらに、主に、根切り時の根の活性に影響を及ぼすと考えられる。気象及び土壌環境並びに品種間における効果の差異について精査し、その条件毎に処理基準を策定する必要があるが、収量性、品質の面から概括的に見て道央地域における根切り処理の適期は「倒伏期後25日目」とすることが良いと考えられる。
また、これより早い処理では、やや球の肥大が抑制される傾向となるが、裂皮球の減少並びに色沢の向上効果が高く得られる。
10.成果の具体的数字
1)中央農試における試験結果(63年)
![]() |
| 図1 生葉長の推移と根切り処理による枯葉の進度 |
![]() |
| 図2 根切り処理と収量及び平均一球重 |
![]() |
| 図3 根切り処理と規格別球数割合 |
2)農業改良普及所における試験結果
![]() |
![]() |
|
| 図4 根切り処理と球肥大 ※n=試験個所数 |
図5 根切り処理と裂皮球発生(収穫時) |
| 年 次 | 61 | 62 | 61 | 62 | 61 | 62 | 61 | 62 | 61 | 62 | 61 | 62 | 61 | 62 | 61 | 62 | 61 | 62 | 61 | 62 |
| 処理時期 | 15日目 | 20日目 | 25日目 | 30日目 | 無処理 | 15日目 | 20日目 | 25日目 | 30日目 | 無処理 | ||||||||||
| 品 種 | 北もみじ | そらち黄 | ||||||||||||||||||
| 健 全 | A | 5.5 | 50.3 | 5.6 | 40.9 | 4.0 | 48.2 | 6.7 | 55.9 | 6.3 | 3.5 | 36.1 | 5.4 | 45.5 | 9.7 | 45.9 | 9.3 | 38.9 | 8.2 | |
| 茎盤突出 | B | 20.0 | 26.7 | 20.8 | 41.6 | 30.5 | 26.2 | 26.9 | 23.3 | 30.5 | 25.9 | 22.7 | 19.9 | 16.1 | 26.2 | 14.7 | 20.4 | 22.7 | 26.8 | |
| 発 根 | C | 65.2 | 20.6 | 63.2 | 16.1 | 58.8 | 23.7 | 59.6 | 20.5 | 59.5 | 69.2 | 30.6 | 70.0 | 27.4 | 61.1 | 32.4 | 61.7 | 30.2 | 61.2 | |
| 腐 敗 | D | 9.3 | 2.4 | 10.4 | 1.4 | 6.7 | 1.9 | 13.5 | 0.3 | 3.7 | 1.4 | 10.6 | 4.7 | 11.0 | 3.0 | 7.0 | 8.4 | 8.2 | 3.8 | |
| 裂 皮 | E | 42.0 | 11.1 | 66.7 | 16.0 | 51.7 | 10.7 | 49.2 | 21.8 | 74.3 | 41.0 | 7.2 | 40.8 | 9.6 | 34.7 | 16.1 | 49.7 | 17.8 | 41.7 | |
11.成果の活用面と留意点
1)根切り処理に当たって、茎葉を損傷しない様注意し、貯蔵腐敗防止のため処理直後防除を徹底する。
2)根の衰えが遅い品種、圃場、年次は、裂皮発生を少なくする効果をより高く得るために、処理を早める必要がある。
12.残された問題とその対応