|
1.課題の分類 食品 ぶどう 果樹−加工・流通技術 北海道 2.研究課題名 醸造用ブドウの果実成分と醸造適性に関する試験 (ブドウ新品種の醸造適性に関する試験) 3.予算区分 道−民間 4.研究期間 (昭和62年〜平成元年) 5.担当 中央農試園芸部流通加工科 ニッカウヰスキー株式会社 6.協力・分担関係 |
7.目的
ブドウ酒醸造に適した品種を選定するため、育成中あるいは道外より導入した新品種の醸造適性に関連する果実成分を分析し、品種選定の効率化に資する。
8.試験研究方法
(1)ブドウ果実の成熟に伴う成分の推移
1987年:ツバイゲルトレーぺ、セイペル13053、シュバルツエルプリング
1988年:ツパイゲルトレーぺ、ケルナー、ミュラートルガウ
(2)ブドウ果実の熟度とワイン品質に関する試験
1988年:ツパイゲルトレーぺ、ケルナー、ミュラートルガウ
仁木町と長沼町において、収穫時期をかえて2回
(3)ブドウ果実成分とワイン品質に関する試験
1986〜1989年:白ワイン用18,赤ワイン用10品種
果汁成分分析とワイン評価の関係の検討
9.結果の概要・要約
(1)果皮の着色、果肉の軟化が始まるペレーゾン期以後、総酸は増加から減少に転じ、糖度は増加を示した。収穫期の糖度(Brix)/総酸(g/L)比は早生品種シーガーレーぺ、フリューブルグンダーは2.0以上、晩生品種のリースリング、カベルネソービニョンは1.0前後と品種差が認められた。
(2)果実中の主要な有機酸は酒石酸とリンゴ酸であり、酒石酸は収穫期まで減少を続け、リンゴ酸はペレーゾン期以後、増加から減少に転じた。リンゴ酸の減少が大きいため、成熟につれて酒石酸/リンゴ酸化(T/M比)は増加した。収穫期のT/M比は早生品種シーガーレーぺ、オプティマは1.0以上、晩生品種のリースリングは1.0以下と、品種差が認められた。
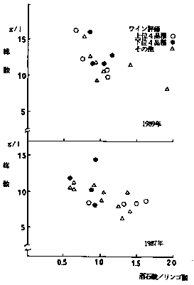
(3)白ワイン用18品種と赤ワイン用10品種を用いて、果汁成分とワイン評価の関係について検討した。1986〜1988年の結果では、ワイン評価と果汁中の総酸とリンゴ酸に負の相関、糖度/総酸とT/M比に正の相関が得られた。しかし、糖度、酒石酸には相関は認められなかった。総酸12g/L以上の果汁より醸造されたワインの評価は低く、白ワイン用品種で総酸8〜10g/Lが適正量と考えられた。そのため、白ワイン用醸造ブドウの栽培にあたっては、収穫時の果汁中の総酸が8〜10g/Lになるのが望ましい。
(4)総酸含量8〜10g/Lで、高いT/M比の果汁より醸造したワインは評価が高く、果汁中の総酸とT/M比の関係から、果実の熟度や醸造特性の解明の指標になる可能性が示された。
10.成果の具体的数字

第1図 ブドウ果実の成熟に伴う総酸の推移

第2図 ブドウ果実の成熟に伴う糖度の推移
第1表 果汁成分とワイン評価との相関関係
| 糖度 | 総酸 | 糖度 / 総酸 |
酒石酸 | リンゴ酸 | 酒石酸 / リンゴ酸 |
|
| 1986年 | ns (23) |
-0.37* (23) |
0.39* (23) |
ns (20) |
-0.51* (20) |
ns (20) |
| 1987年 | ns (27) |
-0.51** (27) |
0.58** (27) |
ns (25) |
-0.58** (25) |
0.62** (25) |
| 1988年a | ns (27) |
ns (27) |
ns (27) |
ns (13) |
-0.55* (13) |
0.58* (13) |
| 1988年b | ns (20) |
-0.40* (20) |
ns (20) |
ns (9) |
ns (9) |
ns (9) |
| 1989年 | ns (24) |
ns (24) |
ns (24) |
ns (23) |
ns (23) |
ns (23) |
第2表 果汁中の総酸量と白ワイン品質の関係
| 年次 | 8g/L以下 | 8〜10g/L | 10〜12g/L | 12g/L以上 |
| 1986年 | 12.6(2) | 11.2(6) | 13.0(5) | 8.2(2) |
| 1987年 | 10.5(2) | 11.5(9) | 10.7(5) | 8.9(2) |
| 1988年a | 11.0(2) | 11.4(8) | 10.8(6) | 10.0(2) |
| 1988年b | 11.4(2) | 12.0(6) | 11.4(4) | 9.6(2) |
| 1989年 | 11.0(1) | 9.8(3) | 9.6(6) | 9.4(6) |

第3図 白ワイン用品種の果汁中の総酸と
酒石酸/リンゴ酸の関係
11.成果の活用面と留意点
12.残された問題とその対応
年次変動が大きいため、熟度判定や品種選定指標作成には、さらにデーターの蓄積が必要。